InkSoul/content/computergraphic/路径追踪.md

17 KiB
Raw Blame History

title date
路径追踪 2022-07-24T15:01:07+08:00

概率论基础复习

在路径追踪的计算中需要引入部分概率论内容,在此进行部分复习

随机变量

  • 随机变量:一个值,表示某些事件发生

  • x \backsim p(x) :随机变量的分布,随机变量取到某个值的可能性

例如对于一个骰子共有6个面每个面在上面的概率相等都为1/6

概率

  • 概率必定为非负
  • 所有事件的发生概率和为1
p_i \geq 0
\sum_{i = 1}^n p_i = 1

例如:对于上述的骰子,概率为p_i = \frac{1}{6}

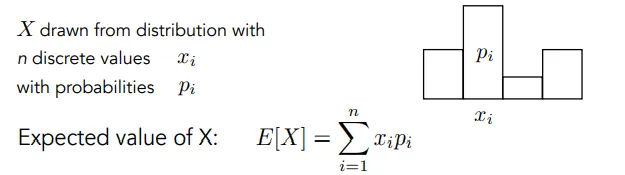
随机变量的期望

如图,对于这四个可供选择的长方形,每一个选择有一个值为X_i,每一个选择都对应一个概率为p_i,那么期望则为将所有值乘以其对应的概率后累加得到的数值

可见上图的期望值为

E[X] = \sum_{i = 1} ^ n x_ip_i

例如一个骰子可以取值1、2、3、4、5、6,每一个取值的概率都是1/6,期望为

E[X] = \sum_{i=1}^n \frac{i}{6} = (1+2+3+4+5+6)/6 = 3.5

概率密度函数

随机变量的取值可以是一些固定的值(离散型),也可以是下图所示一些连续的值(连续型)

某一位置的概率为其周围一小段微元与曲线相连线形成的梯形面积

上面这条曲线P(x)即为概率密度函数(简称PDF)

概率密度在所有值上的积分等于1与概率和为1类似

期望的计算则是用任意一个取值乘以概率密度,并加以积分

对于满足下列条件的P(x)

p(x) \geq 0 \\ \\ and \int p(x)dx = 1

期望值为

E[X] = \int x P(x)dx

当一个函数本身是随机变量时:

例如一个随机变量满足一定的PDF

X \backsim p(x)

另外一个函数为

Y = f(X)

此时Y的期望为

E[Y] = E[f(X)] = \int f(x)p(x)dx

蒙特卡洛积分(Monte Carlo Integration)

使用理由

计算给定函数的定积分时,如果f(x) = x^2,就可以计算出不定积分为\frac{1}{3}X^3 + 常数之后利用不定积分即可求出它在a和b的值两者相减即得积分

若函数较为复杂,如下图所示,不便于使用解析方法,就要使用数值的方法计算(蒙特卡洛积分)

大致流程

黎曼积分:

将上图a和b之间均匀拆分为100份取每一份的中间位置找到对应的Y(即将整个曲线下方面积分解为各个小长方形面积之和)

蒙特卡洛积分:

  • 在a和b之间随便取一个数找到这个数对应的f(x)
  • 假设整个曲线为一个长方形长方形高度为刚才去的值的对应位置高度长方形宽度视为a到b的长度利用长方形面积近似曲线下围面积
  • 将第二步重复多次在a到b区间采样多次将得到的长方形面积平均求值就可以得到相对准确的结果

定义

定积分f(x)即从a到b的值

\int_a^b f(x)dx

x的积分域在ab区间对概率密度函数随机采样一个变量得到Xi

随机变量 \\ \\ \\ X_i \backsim p(x)

蒙特卡洛积分可近似为下列式子,即f(Xi)/p(xi)的平均

F_N = \frac{1}{N} \sum_{i = 1}^N {\frac{f(X_i)}{p(X_i)}}

特殊情况

  • 在a到b之间均匀采样时我们使用的概率密度函数(PDF)在各处的值相等即为一个常数又已知PDF在积分域上的积分值为1此PDF可解出值为\frac{1}{(b-a)}

  • 采用蒙特卡洛积分计算时需要知道f(Xi)和p(Xi),随机采样得到的值为Xi,蒙特卡洛积分只需计算f(Xi)除以p(Xi)的平均值p(Xi)的值始终为\frac{1}{(b-a)}
F_N = \frac{b-a}{N}\sum_{i=1}^Nf(X_i)

总结

蒙特卡洛积分:

只需积分域内使用一个PDF采样得到该样本的f(Xi)和概率密度P(Xi)的值,两者相除后取平均值

注意:

  1. N越大(采样次数越多),得到的结果越精准
  2. 积分域是定义在X上的积分所以采样目标一定是X

路径追踪(path tracing)

Whitted-Style Ray Tracing 存在的问题

  • Whitted-style Ray Tracing 对Specular(镜面)材质的表现效果是正确的而glossy(磨砂)材质的效果则表现不正确

Specular材质光线在物体表面能发生镜面反射则称为此材质光线在打在表面时会沿着镜面反射方向离去也是镜面能够映出周围环境光的原因

Glossy材质有镜面反射的样子但又有些许模糊类似毛玻璃效果有一定粗糙度但能产生高光

  • whitted-style ray tracing 在遇到漫反射时会停止光线弹射直接做相应的shading

这种情况会忽视漫反射物体和漫反射物体之间的光线都不被渲染,也不符合漫反射将光线均匀地反射到各个不同方向上的物理定义

两个示例中左侧为直接光照,右侧为全局光照,都采用路径追踪的方式计算得到

可见在场景中只有上面一个光源的情况下,在直接光照里,天花板为黑色,但实际上光线会发生多次弹射,天花板应是亮的,右侧才是我们想要的效果

Color bleeding: 左侧全局光照图中高立方体左侧是红,光线在弹射到墙面后再反射到这个面,之后到达摄像头(眼睛)z这种现象就为Color bleeding

Cornell box真实存在3D模型也是存在的广泛用于测试各种全局光照效果


两中表现效果错误来自于Whitted-style ray tracing的光线弹射计算

  1. 光线打到specular的物体上会沿着镜面方向反射或沿着折射方向折射
  2. 光线打到diffuse(漫反射)的物体上,这条光线就停止了

虽然存在错误,但完全按照物理量推算的渲染方程是完全正确的,为了正确计算,我们要解出这个渲染方程

L_o(p,w_o) = L_e(p,w_o) + \int_{\Omega+} {L_i(p,w_i)f_r(p,w_i,w_o)(n\cdot w_i)dw_i}

蒙特卡洛积分分解渲染方程

直接光照

假设存在下图场景,我们认为各个方向进来的光\omega i 均匀分布在球面上

  • 假设该点不发光,因而直接光照强度结果来自于四面八方入射来的光照强度

忽略渲染方程发光项后的形式

L_o(p,w_o) =\int_{\Omega+} {L_i(p,w_i)f_r(p,w_i,w_o)(n\cdot w_i)dw_i}
使用蒙特卡洛积分求解
  • 通过蒙特卡洛求解我们需要在不同方向上采样考虑对应的f(x)和PDF的值

着色点为p点时从P点反射到摄像头的辐射为

L_o(p,w_o) =\int_{\Omega+} {L_i(p,w_i)f_r(p,w_i,w_o)(n\cdot w_i)dw_i}

蒙特卡洛为了算积分会在积分域上进行采样获得样本X计算f(x)/p(x),再求平均

\int_a^b f(x)dx \approx \frac{1}{N}\sum_{k=1}^N \frac{f(X_k)}{p(X_k)}
X_k \backsim p(x)
  • 求出f(x)

将蒙特卡洛积分的方法迁移到解渲染方程上则f(x)就是渲染方程中积分的所有计算式

L_i(p,w_i)f_r(p,w_i,w_o)(n\cdot w_i)
  • PDF的值

PDF涉及对积分域进行采样这里为对半球进行采样

使用最简单的均匀采样认为半球上采样到任何一个方向上的概率密度是相同PDF为一个常数

p(\omega_i) = \frac{1}{2\pi}

球面面积为4\pi,半球面面积为2\pi,半球对应立体角为2\pi,均匀采样使PDF的所在角度积分为1因此PDF为\frac{1}{2\pi}

  • 将渲染方程改写成蒙特卡洛形式

每次均匀地在半球上采样,取一个入射方向\omega_i,将上值代入可得下列式子

L_o(p,w_o) =\int_{\Omega+} {L_i(p,w_i)f_r(p,w_i,w_o)(n\cdot w_i)dw_i}
\approx \frac{1}{N}\sum_{i=1}^N \frac{L_i(p,w_i)f_r(p,w_i,w_o)(n\cdot w_i)}{p(\omega_i)}

由此可写出以下着色算法

着色点p方向为w0
    随机选择PDF采样得到的N个方向wi
    初始化结果Lo
    对于选中的wi
        从p点连出一条光线
        如果光线打到了光源
            Lo+=(1/N) * Li * fr * cosine/pdf(wi)
    返回Lo


shade(p, wo)
    Randomly choose N directions wi~pdf
    Lo = 0.0
    For each wi
        Trace a ray r(p, wi)
        If ray r hit the light
            Lo += (1 / N) * L_i * f_r * cosine / pdf(wi)
    Return Lo
全局光照

全局光照下我们需要考虑反射面反射过来的光计算从Q反射到P点反射了多少辐射能

只需在直接光照的算法中添加分支便可支持全局光照

着色点p方向为w0
    随机选择PDF采样得到的N个方向wi
    初始化结果Lo
    对于选中的wi
        从p点连出一条光线
        如果光线打到了光源
            Lo+=(1/N) * Li * fr * cosine/pdf(wi)
        如果光线打到了q点的物体
            Lo +=(1/N) * shade(q,-wi) * fr * cosine/pdf(wi)
    返回Lo


shade(p, wo)
    Randomly choose N directions wi~pdf
    Lo = 0.0
    For each wi
        Trace a ray r(p, wi)
        If ray r hit the light
            Lo += (1 / N) * L_i * f_r * cosine / pdf(wi)
        Else If ray r hit an object at q
            Lo += (1 / N) * shade(q, -wi) * f_r * cosine / pdf(wi)
        
Return Lo

打到物体上是需要考虑q点反射过来的能量即在q点-wi方向看过去的直接光照


上述算法存在的问题
  • 这种方式打出不同光线再以递归的方式计算,会使光线的数量呈指数爆炸增长

如下图打到第一个物体上后反射出N根光线打到第二个物体后会再发出N个光线即变成N^2条光线,会超出处理能力

解决方法:

  1. 取N等于1但是会产生较大噪声
  2. 采用N=1来做蒙特卡洛积分即为路径追踪(N!=1时为分布式光线追踪会产生指数爆炸)
  3. N=1的情况下会产生噪声但需要得到的只是一个像素的Radiance所以只需计算穿过一个像素的多个path再求平均即可得到目标Radiance

path:一条完整连接视点和光源的路径

算法:

ray_generation(camPos, pixel)
    Uniformly choose N sample positions within the pixel
    pixel_radiance = 0.0
    For each sample in the pixel
        Shoot a ray r(camPos, cam_to_sample)
        If ray r hit the scene at p
            pixel_radiance += 1 / N * shade(p, sample_to_cam)
    Return pixel_radiance

  • 递归算法永远不停

真实世界中光线本身弹射次数也是不停的,但计算机不能无限模拟,也不能提前限制弹射次数,这样会损失多次弹射的能量

解决方案:

用Russian Roulette(俄罗斯轮盘赌)的方法来决定以一定概率去停止光线继续弹射

俄罗斯轮盘思想:

  1. 某一着色点出射的Radiance是L_o
  2. 自定一个概率p(0< p < 1)
  3. 以一定的概率p往某一方向打一条光线
  4. 得到一定结果后取L_o/p为返回值
  5. 在1-p的概率内就不打光线返回值为0

可视为取两个值的离散型随机变量,可以通过概率乘以值并加起来计算期望

E = P*(L_o/p) + (1-p)*0 = L_o

对应修改后的着色算法

指定概率P_RR

随意在0到1中取一个数ksi

如果ksi>P_RR,意味着不该往外把一根光线

其他情况下正常打出光线,最后结果需除以P_RR

shade(p, wo)
    Manually specify a probability P_RR
    Randomly select ksi in a uniform dist. in [0, 1]
    If (ksi > P_RR) return 0.0;
    Randomly choose ONE direction wi~pdf(w)
    Trace a ray r(p, wi)
    If ray r hit the light
        Return L_i * f_r * cosine / pdf(wi) / P_RR
    Else If ray r hit an object at q
        Return shade(q, -wi) * f_r * cosine / pdf(wi) / P_RR

至此得出不太高效的正确path tracing算法


Samples(采样率)可认为是pathSPP(samples per pixel)就是一个像素打出多少path

low SPP下计算速度快图片噪声多

High SPP下计算速度慢图片噪声少

算法依旧不高效的原因

光线能否打到光源上取决于运气当光源小时往往会浪费过多光线需要改用更好的PDF用来采样而非简单的均匀采样

光源上采样

蒙特卡洛允许许多采样方法,我们可以直接在光源上采样

n'为光源本身朝向,在与着色点连线后可得\theta(连线和着色点法线的夹角) \theta'(连线和光源法线的夹角)此时若在视为二维平面的光源上均匀采样则PDF为\frac{1}{A}

此时得到一个定义在光源上的积分,需要将渲染方程改写

  • 将对d\omega的积分改为对dA的积分

dA: 光源上的一个小平面

d\omega:是上面小的表面投影到单位球上形成的面积(单位球半径为1立体角为dA投影到单位球上的面积除以1的平方)

d\omega和dA的关系dA的朝向不一定朝向着色点则需要计算dAcos\theta',将光源所在平面垂直地和着色点连线,除以距离绝对值的平方,得出d\omega

d\omega = \frac{dAcos\theta'}{||x' - x||^2}

重写后的渲染方程为:

L_o(x,\omega_o) = \int_{\Omega+} L_i(x,\omega_i)f_r(x,\omega_i,\omega_o)\cos \theta d\omega_i
\int_A L_i(x,\omega_i)f_r(x,\omega_i,\omega_o)\frac{dAcos\theta'}{||x' - x||^2} dA

即可使用蒙特卡洛积分进行计算,此时的PDF为1/A

改进后的算法

着色点的着色结果来源于两个部分:

  • 光源的贡献(直接光源,无需进行俄罗斯轮盘赌剔除)

均匀地在光源上采样后对改写后的渲染方程使用蒙特卡洛积分计算

  • 非光源贡献(间接光源,需要进行俄罗斯轮盘赌剔除)

如果通过了俄罗斯轮盘赌测试就发出一条射线打到了一个非光源的点q时将其贡献加入

算法:

shade(p, wo)
    # Contribution from the light source.
    Uniformly sample the light at x (pdf_light = 1 / A)
    L_dir = L_i * f_r * cos θ * cos θ’ / |x - p|^2 / pdf_light 


    # Contribution from other reflectors.
    L_indir = 0.0
    Test Russian Roulette with probability P_RR
    Uniformly sample the hemisphere toward wi (pdf_hemi = 1 / 2pi)
    Trace a ray r(p, wi)
    If ray r hit a non-emitting object at q
        L_indir = shade(q, -wi) * f_r * cos θ / pdf_hemi / P_RR
    Return L_dir + L_indir

处理光源遮挡

上述算法中,光源采样并未考虑光源遮挡问题

发生下图蓝色物体遮挡在光源和着色点之间时,需要判断光源能否贡献到着色点

判断方式:

着色点到光源上的采样点取一根连线从着色点往这根连线的方向打出一根光线判断是否会打到某个物体自然可以直接判断直接光照是否被遮挡不被遮挡时直接光照可直接计算被遮挡时自然为0

改进后算法:

shade(p, wo)
    # Contribution from the light source.
    Uniformly sample the light at x' (pdf_light = 1 / A)
    Shoot a ray from p to x
    If the ray is not blocked in the middle
        L_dir = L_i * f_r * cos θ * cos θ’ / |x' - p|^2 / pdf_light 


    # Contribution from other reflectors.
    L_indir = 0.0
    Test Russian Roulette with probability P_RR
    Uniformly sample the hemisphere toward wi (pdf_hemi = 1 / 2pi)
    Trace a ray r(p, wi)
    If ray r hit a non-emitting object at q
        L_indir = shade(q, -wi) * f_r * cos θ / pdf_hemi / P_RR
    Return L_dir + L_indir


最终path tracing的出的效果

可见path tracing 与照片相比能够做到几乎百分百相似

光线追踪新旧计算算法

早期多是Whitted-style Ray Tracing

现代:

可理解为所有光线传播方式的集合

  • (Unidirectional & bidirectional) path tracing
  • Photon mapping
  • Metropolis light transport
  • VCM / UPBP…

当然,现在还做不到完美的实时光线追踪,也是现在探讨前沿


补充问题
  • 蒙特卡洛积分应该选择什么样的PDF

重要性采样理论

  • 随机数是否有质量之分?

存在质量之分不同的随机数有各自特点如low discrepancy sequences、TAA中使用的Halton sequence

  • 是否可以将采样半球和采样光源这两种采样方法结合起来,使其效果更好?

存在称为multiple imp Sampling,简称MIS

  • 我们算出了一个像素的Radiance可是我们最后看到的是颜色这个Radiance是不是颜色

颜色与Radiance并非一一对应关系将Radiance换算为颜色需要经过gamma校正